山西崦山自然保护区侧柏群落优势种群种间关系分析
【类型】期刊
【作者】高平,张贵平,吴琼,连俊强,张峰(吕梁学院生命科学系;山西大学黄土高原研究所;山西大学生命科学与技术学院)
【作者单位】吕梁学院生命科学系;山西大学黄土高原研究所;山西大学生命科学与技术学院
【刊名】植物研究
【关键词】 侧柏群落;优势种群;种间关系;崦山自然保护区
【资助项】山西省自然科学基金 (2006011077);山西省留学基金 (20060024)
【ISSN号】1673-5102
【页码】P731-736
【年份】2019
【期号】第6期
【期刊卷】1;|7;|8
【摘要】在样方调查的基础上,采用方差比率法、Fisher精确检验、Jaccard指数和Spearman秩相关系数研究了山西阳城崦山自然保护区侧柏群落优势种群的种间关系。结果表明:(1)群落优势种总体呈正关联,但关联性较弱,种的分布具有相对独立性。(2)F isher精确检验与Jaccard指数结合使用可以取得较好的研究结果。(3)Jaccard指数结果表明在乔、灌、草各层中占据明显优势地位的种群其种间联结程度较大。(4)根据研究结果把侧柏群落的优势种群划分为3个生态种组:白皮松生态种组、侧柏生态种组和白莲蒿生态种组。
【全文】 文献传递
山西崦山自然保护区侧柏群落优势种群种间关系分析
摘 要 在样方调查的基础上,采用方差比率法、Fisher精确检验、Jaccard指数和Spear man秩相关系数研究了山西阳城崦山自然保护区侧柏群落优势种群的种间关系。结果表明:(1)群落优势种总体呈正关联,但关联性较弱,种的分布具有相对独立性。(2)Fisher精确检验与Jaccard指数结合使用可以取得较好的研究结果。(3)Jaccard指数结果表明在乔、灌、草各层中占据明显优势地位的种群其种间联结程度较大。(4)根据研究结果把侧柏群落的优势种群划分为3个生态种组:白皮松生态种组、侧柏生态种组和白莲蒿生态种组。
关键词 侧柏群落;优势种群;种间关系;崦山自然保护区
Abstract Based on the datasets from the field,2×2 contingency table,the interspecific relationships among 24 dominant populations ofPlatycladus orientaliscommunities in Yanshan nature Reserve in Shanxiwere studied by using variance ratio(VR)test,Fisher’s exact test,Jaccard’s association index and Spearman rank correlation coefficient.The results indicated that the overall association of the communitywas not significant(p>0.05)and tended to no correlation among all species,and itmeant that the speciesof the communitywere mostly independently distributed.The combination of Fisher exact test and Jaccard’s association index in the study obtained a better result.The results of Jaccard’s association index showed that the association intensity of species pairs between the main dominant populations of each layerwasmore significant.The results also showed that the dominant populations ofP.orientaliscommunities could be divided into three biological groups:Pinus bungeana group,P.orientalisgroup andA rtem isia sacrorumgroup.
Key words Platycladus orientaliscommunities;dominant populations;interspecific relationships;Yanshan nature reserve
种间关系是植物群落重要的数量和结构特征之一,研究群落中种群之间的种间联结和相关有利于深入了解植物群落的结构、功能、生境类型和群落演替趋势,有利于更好地认识群落中各种群与环境因子以及不同种群在空间分布上的关联性及相互作用规律[1~5]。对种群之间种间联结和种间相关的测定能揭示植物种在空间上共同出现或结合的程度,说明植物种是独立分布,还是存在相互吸引或排斥的关系[6~9]。
目前关于侧柏群落生态学的研究主要集中在侧柏的生态分布、起源、多度中心、结构特征、演替和发育,以及人工侧柏林的生物量、多样性和空间格局等[10~12],而关于天然侧柏群落种间关系的研究尚属空白。本文在样方调查的基础上,采用方差比率法、Fisher精确检验、Jaccard指数和Spearman秩相关系数,研究崦山自然保护区侧柏群落的种间关系,旨在揭示侧柏群落中优势种群的内在联系及其在构建群落上的作用,从而为侧柏群落的保护和利用提供理论依据。
1 研究区自然地理概况
崦山自然保护区位于中条山东段,在山西省阳城县境内,地理位置35°35′33″~35°35′41″N,112° 16′50″~112°27′50″E,海拔600~1 151 m。崦山自然保护区为大陆性暖温带季风气候区,年均气温10.0℃,最高气温40.2℃,最低气温-19.7℃,1月平均气温-3℃,7月平均气温24.6℃,≥10℃的积温3 800℃,年平均降水量613mm,年无霜期为189 d。成土母质以沙页岩为主,主要土壤类型为山地褐土、褐土性土等。
崦山自然保护区植被类型组成丰富。森林群落以天然侧柏(Platycladus orientali)林为主,此外还有白皮松(Pinus bungeana)林、栓皮栎(Quercus variabilis)林和辽东栎(Q.liaotungensis)林。主要的灌丛类型有荆条(Vitex negundovar.heterophylla)灌丛、黄刺玫(Rosa xanthina)灌丛、白刺花(Sophora viciifolia)灌丛和三裂绣线菊(Spiraea trilobata)灌丛等。草本植物群落类型有白羊草(Bothriochloa ischaem um)草丛、冰草(Agropyron cristatum)草丛和披针苔草(Carex lanceolata)草丛等[13,14]。
2 研究方法
2.1 取样方法
在全面踏查的基础上,2007年9月对山西阳城崦山自然保护区天然侧柏群落进行群落调查,共设6个样地,每个样地取3~7个10 m×10 m的样方,共37个。记录的指标包括:(1)群落总盖度、海拔、坡度、坡向、死地被盖度、人为干扰情况和经纬度等,(2)乔木层郁闭度、种名、树高、胸径、冠幅及种盖度;在每个样方内,分别设置1个4 m×4 m的灌木样方,灌木层的记录指标包括层盖度、种名、高度、丛数和分盖度等;在每个灌木样方内,设置1个1m×1 m的样方,记录草本层盖度、高度、种名、种盖度等。
2.2 数据处理
在37个样方中共记录60种植物,采用主观和客观结合的方法[4]确定了群落的24个优势种(表1),分别得到24×37的种—样方二元数据矩阵和24×37的种重要值—样方数据矩阵。
表1 山西阳城崦山自然保护区侧柏群落优势种种名及编号
Table1 Name and No.of dom inants ofP.orientaliscommun ities in Yanshan nature reserve i n Shanxi

?
2.3 数据分析
2.3.1 总体关联性
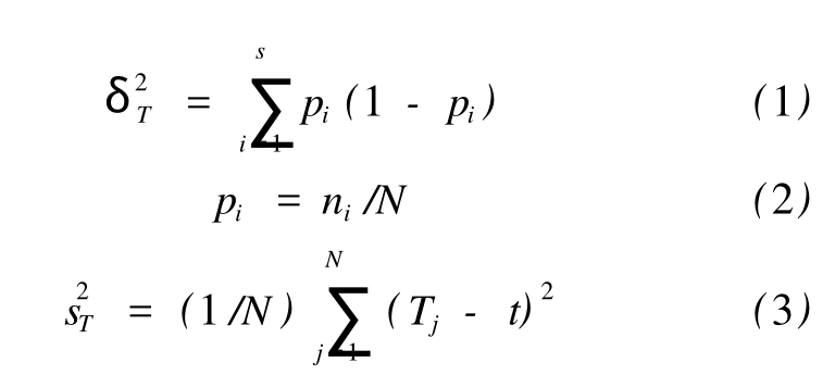
采用方差检验法[3,9],通过计算物种间联结指数(VR)来测定所研究种类的总体关联性,计算公式为:

式中S为物种总数,N为样方总数,ni为物种i出现的样方数,Tj为样方j内出现的所研究物种的总数,t为样方中种的平均数,VR为群落内植物种间的总体联结指数。若VR=1,接受零假设,即种间总体无关联。若VR>1则否定零假设而接受备择假设,即物种间总体呈正关联;VR<1,则否定零假设而接受备择假设,即物种间总体呈负关联。
为了检验VR偏离1是否显著,引入新的统计量W=VR×N。W服从χ2分布(df=N-1)。若W
或W>
,则物种间总体关联显著(p< 0.05)。反之,若
,则物种间总体关联不显著(p>0.05)[3,9]。
2.3.2 种间关联性测定
用种—样方二元数据矩阵构造作种对之间的2×2列联表,然后进行Fisher精确检验,来测定种间关联的显著性。其表达式如下[15]:
式中N为取样总数,a为两物种均出现的样方数, b、c分别为仅有1个物种出现的样方数,d为两物种均未出现的样方数。若ad>bc,则为正关联,ad <bc,则为负关联。
2.3.3 种间关联程度测定
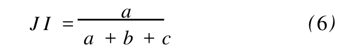
用Jaccard指数来描述种间关联程度,其公式如下[7]:
Jaccard指数也称共同出现百分率,是[0,1]值域的无中心指数,其值域越接近于1,则表明该种对正连接越紧密。
2.3.4 Spear man秩相关分析
Spearman秩相关系数表达式如下[7]:

式中p为样方数,dk=(Xik-¯Xi)(Xjk-¯Xj),Xik为每个种的秩。

图1 山西阳城崦山自然保护区侧柏群落优势种群间种间关联的Fisher精确检验星座图
Fig.1 The constellation diagram of Fisher’exact testof association of dominantpopulationsofP.orientaliscommunities in Yanshan nature reserve in Shanxi province
3 结果及分析
3.1 优势种种间总体关联性分析
侧柏群落优势种的总体关联性的方差值VR= 1.16,统计量W=42.956,界于
(23.269,df= 36)和
(50.998,df=36)之间,这表明群落优势种间总体呈正关联,但联结性较弱,种的分布相对独立。
3.2 优势种种间关联性分析
在Fisher精确检验中极显著正关联的8个种对JI均≥0.3,显著正关联的8个种对JI均≥0.25,极显著负关联的6个种对JI值均<0.1,除种对6-13(黄刺玫—多花胡枝子)外,显著负关联的12个种对JI均<0.15。这表明Fisher精确检验为极显著或显著正关联时,JI较大;Fisher精确检验为极显著或显著负关联时JI值较小。但JI较大并不意味着Fisher精确检验一定为显著或极显著正关联。如当d=0(即种对间在取样时没有两个种都不存在的情况)时,Fisher精确检验为负关联,但JI由于不受d的影响[7],只要a较大时,JI就会较大。如种对2-5(白皮松—荆条)、种对5-13(荆条—多花胡枝子)、种对5-16(荆条—披针苔草)和种对5-17(荆条—白莲蒿)JI均较大,分别为0.65,0.73,0.84,0.65,但Fisher精确检验结果均为负关联。JI为0的38个种对,全部为负关联。

图2 山西阳城崦山自然保护区侧柏群落优势种群Jaccard指数半矩阵图
Fig.2 The semi-matrix of Jaccard’s association index dominant populations ofP.orientaliscommunities in Yanshan nature reserve in Shanxi province
3.3 优势种种间相关性分析及生态种组的划分
图3为基于数量数据的Spear man秩相关系数检验结果的星座图。结果表明:显著相关的种对数为75对,其中极显著正相关的种对数为24对、极显著负相关的种对数为14对、显著正相关的种对数为13对、显著负相关的种对数为24对。在群落中生态习性和分布方式相似、对环境具有相似需求的物种可划分为同一生态种组[6,16]。根据种间相关结果(图3),以负相关作为划分不同种组的界限,同一种组内的物种之间又尽可能地体现正相关原则[6],同时结合Fisher精确检验和Jaccard指数结果以及野外调查的资料对侧柏群落的优势种群进行生态种组的划分如下:
1)第一生态种组为白皮松生态种组:包括白皮松、栓皮栎、辽东栎、毛黄栌、陕西荚蒾、三裂绣线菊、美丽胡枝子、西北栒子、披针苔草和斑叶堇菜。该种组的物种主要分布在坡度较小、土壤相对肥沃的阴坡环境中,且大多为中生植物[17,18],大部分种对之间存在显著或极显著的相关关系。除白皮松与细叶远志,斑叶堇菜与少脉雀梅藤外,该种组内的物种与其他两个种组内的物种均为显著(或极显著)负相关,或彼此独立。
2)第二生态种组为侧柏生态种组:包括侧柏、荆条、黄刺玫、少脉雀梅藤、白刺花、多花胡枝子、达乌里胡枝子、早开堇菜和桃叶雅葱。该种组内的物种均具有耐干旱和瘠薄,对土壤要求不严,适应环境能力较强的特点[17,18],其中侧柏、荆条、黄刺玫、少脉雀梅藤、白刺花、多花胡枝子和达乌里胡枝子该种组内的物种是群落乔木层、灌木层和亚灌木层中占据主要优势地位的物种,彼此之间对资源的竞争相对激烈。因此,种组只有少数物种之间呈显著(或极显著)正相关,大多物种的分布具有较强的独立性。多花胡枝子和早开堇菜之间为显著负相关,是因为在侧柏群落中的多花胡枝子大多为幼苗,高度在20~40 cm左右,与草本层的早开堇菜在空间生态位上具有较大的重叠所致,但两者均为旱中生植物,适应相同的环境,因此应该划分在同一种组内[17,18]。该种组内的物种在生态适应性上介于第一和第3种组之间,大多为中生向旱生过渡的类型。

图3 山西阳城崦山自然保护区侧柏群落优势种群间Spearman秩相关系数星座图
Fig.3 The constellation diagram of Spearman’s rank correlation coefficients of dominant populations ofP.orientaliscommunities in Yanshan nature reserve in Shanxi province
3)第三生态种组为白莲蒿生态种组:包括白莲蒿、白羊草、米口袋、细叶远志和委陵菜。该种组内的物种均为根系发达的多年生中旱生、旱生植物[17,18],大多分布在坡度相对较大,环境干旱的阳坡。该种组内种对之间大多呈显著或极显著正相关,而与其他种组的物种多为显著或极显著负相关。
4 讨论
本文使用方差比率法、Fisher精确检验、Jaccard指数和Spearman秩相关系数对山西阳城崦山自然保护区侧柏群落优势种群的总体关联性,各优势种群之间的种间关联、关联程度和种间相关,并把24个优势种客观地划分为3个生态种组,从而为人们更好地认识和研究群落的结构、功能以及演替规律等提供理论依据。
方差检验法测定结果表明:群落优势种总体呈正关联,但关联性较弱,种的分布具有相对独立性。造成这种现象的原因包括:1)人为干扰导致植被破坏。在村庄和农田附近地区的侧柏群落受人为干扰较大,人为践踏、折枝和垃圾的堆放等导致林下灌木和草本植物的生长均受到较大的影响,一些样方中出现了一些伴人植物,如狗尾草(Setaria viridis)等。人为干扰导致侧柏群落物种组成稳定性降低,物种分布的独立性增加。2)部分样方立地条件较差,土壤干旱贫瘠,乔木层只有侧柏生长较好,灌木层仅有少量耐干旱和瘠薄能力较强的荆条、黄刺玫和白刺花。草本层只散生着少量披针苔草、白莲蒿、白羊草和米口袋。
Fisher精确检验与Jaccard指数结合使用可以取得较好的研究结果。一般来说,Fisher精确检验为极显著或显著正关联时,JI较大;Fisher精确检验为极显著或显著负关联时,JI则较小。但JI较大并不意味着Fisher精确检验一定为显著或极显著正关联,如当d=0(即种对间在取样时没有两个种都不存在的情况)时,Fisher精确检验为负关联,但JI由于不受d的影响,只要a较大时,JI就会较大。侧柏在所有样方均出现(即c=0),无法用Fisher精确检验进行关联分析,可以根据JI的大小来分析侧柏与其他优势种的关联性和关联程度。JI为0的38个种对全部为负关联,说明这些种对之间由于生态和生活习性的差异其所处的环境条件也存在较大差异,因而不可能同时在一个样方内出现。在侧柏群落乔、灌、草各层中占据明显优势地位的种群之间种间联结程度较大,这是因为群落内部的各优势种群经过长期的自然选择,在结构层次上形成了一个有机的整体,可以从不同的角度利用资源,从而能够稳定的共存。
Spear man秩相关系数检验使用的是物种的重要值数据,可以较好地揭示优势种群种间关系的本质[2],有助于更好地判断群落中各种群在生态习性和分布方式上的相似性或相异性。因此根据种间相关结果,同时参考Fisher精确检验和Jaccard指数结果并结合野外调查资料和物种的生物学特性,可以比较客观地对侧柏群落的优势种群进行生态种组的划分。
对侧柏群落优势种群种间关系的进一步深入研究,只有常规的样方调查数据进行统计分析是不够的。如果能在传统的群落调查方法对优势种群进行长期定位研究的基础上,结合定量的实验生态学方法,如应用植物生理和分子生物学手段开展光合作用的种间差异以及种间基因序列比较研究将有助于进一步揭示侧柏群落优势种群的相互关系[19~22]。
参 考 文 献
1.上官铁梁,张峰.山西绵山植被优势种群的分布格局与种间关联的研究[J].武汉植物学研究,1988,6(4):357 -364.
2.张峰,上官铁梁.山西翅果油树群落种间关系的数量分析[J].植物生态学报,2000,24(3):351-355.
3.赵则海,祖元刚,杨逢建,等.东灵山辽东栎林木本植物种间联结取样技术的研究[J].植物生态学报,2003,27 (3):396-403.
4.张佳蕊,陈燕,雷霆,等.北京汉石桥湿地植物群落优势种的种间关系研究[J].湿地科学,2007,5(2):146-151.
5.郭志华,卓正大,陈洁,等.庐山常绿阔叶、落叶阔叶混交林乔木种群种间联结性研究[J].植物生态学报,1997, 21(5):424-432.
6.张峰,张金屯,张峰.历山自然保护区猪尾沟森林群落植被格局及环境解释[J].生态学报,2003,23(3):421-427.
7.张金屯.数量生态学[M].北京:科学出版社,2004.
8.Kershaw K A,Looney J H.Quantitative and dynamic plant ecology[M].3rd ed.London:Edward Arnold Limited, 1985:78-94.
9.张桂萍,张峰,茹文明.旅游干扰对历山亚高山草甸优势种群种间相关性的影响[J].生态学报,2005,25(11): 2868-2874.
10.朱志诚.秦岭北坡及陕北黄土高原区侧柏林初步研究[J].植物生态学与地植物学丛刊,1984,8(4)279-293.
11.陈灵芝,陈清郎,鲍显诚,等.北京山区的侧柏林及其生物量研究[J].植物生态学与地植物学学报,1986,10 (1):17-25.
12.岳明.陕北南部侧柏林演替时期的划分及其特征[J].植物生态学报,1998,22(4):327-335.
13.张贵平,张桂萍,高昆,等.太行山南端野皂荚群落优势种群分布格局研究[J].山地学报,2008,26(1):53-58.
14.茹文明,张峰.山西中条山东部种子植物区系分析[J].山西大学学报(自然科学版),2000,23(1):82-87.
15.吴仲贤.生物统计学[M].北京:北京农业大学出版社, 1993:393-395.
16.康慕谊.秦岭南坡旬河流域森林植被生态种组的初步研究[J].植物生态学与地植物学学报,1993,17(1):9-19.
17.吴征镒.中国植被[M].北京:科学出版社,1995:808-809:
18.中国科学院内蒙古宁夏综合考察队.内蒙古植被[M].北京:科学出版社,1985:71-292.
19.张璐,苏志尧,陈北光.中国特有植物——华南五针松群落的种间关系[J].生态学报,2006,26(4):1063-1072.
20.Hikosaka K.Interspecific difference in the photosynthesisnitrogen relationship:patterns,physiological causes,and ecological i mportance[J].Journal of Plant Research,2004, 117:481-494.
21.Gaston K J,Warren P H.Interspecific abundance-occupancy relationships and the effects of disturbance:a test using microcos ms[J].Oecologia,1997,112:112-117.
22.Javadi F,Yamaguchi H.Interspecific relationships of the genusCicerL.(Fabaceae)based on trnT-F sequences[J]. Theoretical and Applied Genetics,2004,109:317-322.
Analysis of Interspecific Relationships among the Dom inant Populations of Platycladus orientalisCommunities in Yanshan Nature Reserve in Shanxi
中图分类号:S718.54+2
文献标志码:A
文章编号:1673-5102(2010)06-0731-06
基金项目:山西省自然科学基金(2006011077)和山西省留学基金(20060024)
收稿日期:2010-07-21

