冬季不同常绿植物对于大气PM2.5浓度影响的研究
【类型】期刊
【作者】杨静慧,庞志蕊,黄晗达,张桂霞,张霞,卢云慧(天津农学院园艺园林学院;天津农学院农村污水处理技术研发中心;天津绿茵景观生态建设股份有限公司)
【作者单位】天津农学院园艺园林学院;天津农学院农村污水处理技术研发中心;天津绿茵景观生态建设股份有限公司
【刊名】天津农学院学报
【关键词】 冬季常绿植物;PM2.5;吸附
【资助项】天津市农业科技成果转化与推广项目“彩叶树优良品种繁殖、栽培技术示范与推广”(201502100);天津市科委项目“北方蓝莓适栽品种选育和耐盐、碱诱变育种及标准化生产”(16YFZCNC00750...
【ISSN号】1008-5394
【页码】P19-22
【年份】2019
【期号】第4期
【期刊卷】4;|5
【摘要】为了解北方冬季常绿植物栽植方式和方位与PM2.5吸附之间的关系,指导园林中常绿植物的配置,减少北方冬季重雾霾期的污染,对天津城建大学校园内4种常绿植物、2种栽植类型周围和群落内的PM2.5消减情况进行了测定和分析。结果表明:(1)常绿植物群落周围的PM2.5的浓度主要取决于大气中PM2.5的浓度。(2)在重度雾霾的天气下,常绿植物有一定的降PM2.5能力,且植物各方位PM2.5浓度有明显的差异,两者高度相关。(3)片植的砂地柏、白皮松、大叶黄杨的内部中间的PM2.5浓度最低,植株上方的PM2.5浓度最高;大叶黄杨南部、北部边缘的也较低(仅次于群落内中部)。列植北部近地面的浓度最高,植株内部、行列的中间、株高1/2处的PM2.5浓度最低。(4)列植和片植的植物栽植方位与PM2.5的浓度呈高度相关,相关系数分别大于0.9和0.8。建议在树林内建立活动区或在片植常绿树木的南侧配置。
【全文】 文献传递
冬季不同常绿植物对于大气PM2.5浓度影响的研究
摘 要:为了解北方冬季常绿植物栽植方式和方位与PM2.5吸附之间的关系,指导园林中常绿植物的配置,减少北方冬季重雾霾期的污染,对天津城建大学校园内4种常绿植物、2种栽植类型周围和群落内的PM2.5消减情况进行了测定和分析。结果表明:(1)常绿植物群落周围的PM2.5的浓度主要取决于大气中PM2.5的浓度。(2)在重度雾霾的天气下,常绿植物有一定的降PM2.5能力,且植物各方位PM2.5浓度有明显的差异,两者高度相关。(3)片植的砂地柏、白皮松、大叶黄杨的内部中间的PM2.5浓度最低,植株上方的PM2.5浓度最高;大叶黄杨南部、北部边缘的也较低(仅次于群落内中部)。列植北部近地面的浓度最高,植株内部、行列的中间、株高1/2处的PM2.5浓度最低。(4)列植和片植的植物栽植方位与PM2.5的浓度呈高度相关,相关系数分别大于0.9和0.8。建议在树林内建立活动区或在片植常绿树木的南侧配置。
关键词:冬季常绿植物;PM2.5;吸附
PM2.5是空气污染的主要指标之一,与较粗的大气颗粒物相比,PM2.5具有粒径小,表面积大,活性强,易附带有毒、有害物质的特点[1-2],能较长时间地悬浮于空气中,造成能见度降低和气候变化[3],严重影响了人们的生产、生活和身体健康。研究表明,PM2.5每增加10 μg/m3,心力衰竭患者的住院率就要增加1.28%[4],PM2.5对心血管系统危害严重,可以引发一系列疾病,甚至可以致癌[5]。自2013年以来,以北京、天津为首的全国中东部地区出现了严重的雾霾天气,环境问题已经成为了世界关注的问题,空气质量亟待改善[6]。20世纪70年代,国外对树木滞尘能力就有研究,并提出了森林植被是颗粒污染物蓄积库的说法[7]。园林植物可有效阻滞粉尘、吸收有害气体,在一定程度上可降低PM2.5的浓度,改善空气质量。城市绿化对于改善空气质量一直都有着很显著的作用[8]。李新宇等[9]认为,不同群落类型的植被对PM2.5的滞尘能力不同,并提出了最适的绿带宽度和最适的乔、灌、草组合配置。目前,对于北方冬季常绿植物栽植方式和方位与PM2.5吸附之间关系的研究报道较少。在一年中雾霾最为严重的冬季,进行这方面的研究有利于更细致地了解不同常绿植物对PM2.5吸附的差异,对常绿植物的园林配置和减少北方冬季雾霾具有科学指导作用。
1 材料与方法
试验于2017年1月9—19日在天津城建大学校园内进行(1月13日风级超过4级,不适合手动检测仪的测定),以北方冬季常绿植物大叶黄杨(Buxus megistophyllaLevl.)、圆柏(Sabina chinensis(L.)Ant.)、白皮松(PinusbungeanaZucc.)、砂地柏(Sabina vulgarisAntoine)为试验材料。样地内样株的栽植和生长情况见表1。
由于道路绿地消减PM2.5的有效宽度,在轻度污染条件下为30 m,中重度污染条件下为16~25 m[5],最佳宽度是24 m[10],所以选择样地长度30 m以上。选择植株生长一致、健壮、植株栽植较为密集、且分布均匀的地块为样地。分别选择片植(成片)和列植(成排)植株栽植方法,用随机取样法选择样株,每处理选择5株样株,5次重复。用博朗通便携式手持检测仪测定空气中PM2.5的浓度。每天均在14:00—15:00测定。观测期间气象条件如表2所示。
表1 供试常绿植物植株生长情况

植物名称 形态 栽植方式 样方面积 株高 胸径/地径 冠幅m2 m cm m圆柏 乔木 南北向成排列植,双行栽植,行距0.6 m 60 6.9 4.1 2.0大叶黄杨 灌木 南北向成排列植,双行行栽植。行距0.3 m 36 3.0 1.3 1.5砂地柏 匍匐灌木菱形成片栽植,株行距2 m×2m 800 0.9 2.0 1.2白皮松 乔木 矩形成片栽植,株行距5 m×5m 2 500 2.9 18.5 2.5大叶黄杨 灌木 矩形成片栽植 52.5 0.6 1.3 —
表2 测量期间气象因子的变化

气象因子 测定日期/月-日01-09 01-10 01-11 01-12 01-14 01-15 01-16 01-17 01-18 01-19风向 南风 东北风 西风 — — 东南风 西南风 — — —风力 1~2级 1~2级 微风 微风 无风 1~2级 3级 无风 微风 微风温度/℃ -3~3 -4~2 -2~4 -3~5 -4~1 -3~2 -3~1 -3~2 -2~2 -8~-1降水量— — — — — — — — — —
2 结果与分析
2.1 常绿植物群落内PM2.5浓度的变化
5种植物各方位PM2.5浓度随大气污染程度的变化如图1所示。

图1 不同植物各方位PM2.5浓度随大气污染程度的变化
由图1可以看出,不同植物群落内PM2.5的浓度变化主要取决于大气中PM2.5浓度大小,与植物种类关系不大,植物群落各方位的PM2.5浓度变化趋势与大气中PM2.5浓度变化趋势一致。大气中PM2.5浓度越高,各植物群落内PM2.5浓度也越高,且植物群落内的PM2.5浓度在1月11日和1月17日变化明显。
2.2 在重度雾霾天气下,片植常绿植物群落内PM2.5浓度的变化
重度雾霾天气下,片植常绿植物群落内PM2.5浓度的变化如图2所示。

图2 片植植物群落内PM2.5浓度的变化
(测定日期:2017年1月11日;气象条件:重度雾霾,西风,微风。下同)
由图2可以看出,2017年1月11日重度雾霾天气条件下,不同植物在成片栽植方式下,白皮松与大叶黄杨内部中间的PM2.5浓度与其他各方位PM2.5浓度存在显著差异,砂地柏内部中间的PM2.5浓度与西、南边缘以及表面中间位置的PM2.5浓度存在显著差异。表现为砂地柏、白皮松、大叶黄杨内部中间的PM2.5浓度最低,样地中央植株上方表面的PM2.5浓度最高。此外,白皮松东边缘、南边缘的PM2.5含量居中;大叶黄杨南部、北部边缘的也较低(仅次于群落内中部的PM2.5值)。由图3可以看出,成片栽植植物的栽植方位与PM2.5的浓度有显著的相关性,相关系数均为R2>0.8。

图3 片植植物群落内PM2.5浓度与测定方位的相关性
2.3 在重度雾霾天气下,列植常绿植物群落内PM2.5浓度的变化
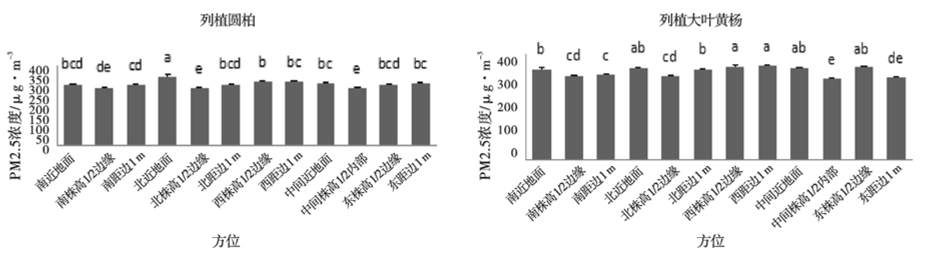
重度雾霾天气下,列植常绿植物群落内PM2.5浓度变化如图4所示。

图4 列植植物群落内PM2.5浓度的变化
由图4可以看出,2017年1月11日重度雾霾 天气条件下,在列植栽植方式下,圆柏行列中间的株高1/2内部和北株高1/2边缘处的PM2.5浓度与其他各方位(除南株高1/2边缘)的PM2.5浓度存在显著差异,大叶黄杨行列中间的株高1/2内部的PM2.5浓度与其他各方位(除东距边1 m)显著差异。表现为圆柏植物群落北部近地面的浓度最高,各植株内部、行列的中间、株高1/2处的PM2.5浓度低。图5可以看出,成列栽植的植物的栽植方位与PM2.5浓度呈高度相关,相关系数均为 R2>0.9。

图5 列植植物群落内PM2.5浓度与测定方位的相关性
2.4 在重度雾霾天气下,大叶黄杨不同栽植方式群落内PM2.5浓度的变化
由图6可以看出,在不同栽植方式下,成列栽植的大叶黄杨各方位的PM2.5浓度低于成片栽植的大叶黄杨各方位的PM2.5浓度,表明成列栽植的大叶黄杨吸附PM2.5的能力要强于成片栽植的大叶黄杨。此外,无论是列栽还是片植,大叶黄杨内部中间吸附PM2.5的能力要强于植物边缘。

图6 大叶黄杨不同栽植方式群落内PM2.5浓度的变化
3 结论
(1)常绿植物群落周围的PM2.5浓度主要取决于大气中PM2.5浓度的大小。
(2)在重度雾霾天气下,常绿植物具有降低PM2.5的能力,且植物各方位PM2.5浓度有明显差异,两者高度相关。
(3)片植的砂地柏、白皮松、大叶黄杨内部中间的PM2.5浓度最低,样地中央植株上方表面的PM2.5浓度最高;大叶黄杨南部、北部边缘的也较低(仅次于群落内中部的PM2.5值)。列植栽植的北部近地面的浓度最高,植株内部、行列的中间、株高1/2处的PM2.5浓度最低。
(4)列植和片植植物的栽植方位与PM2.5的浓度高度相关,相关系数分别为R2>0.9和R2>0.8。
参考文献:
[1]王跃思,姚利,刘子锐,等.京津冀大气霾污染及控制策略思考[J].中国科学院院刊,2013,28(3):353-363.
[2]郭建超,齐实,申云康,等.2种城市林地PM2.5质量浓度变化及其与气象因子的关系[J].水土保持学报,2014(6):88-93.
[3]徐欢,赵晶晶,李红.道路绿地植物配置对PM2.5浓度分布与消减作用的影响[J].北方园艺,2016(24):65-69.
[4]常雷刚.杭州4所综合医院植物群落PM2.5浓度及植物景观研究[D].杭州:浙江农林大学,2014.
[5]王国玉,白伟岚,董东箭,等.城市绿地消减PM2.5污染植物配置技术的思考[J].农业科技与信息(现代园林),2014,11(2):23-29.
[6]孙晓丹,李海梅,周春玲,等.园林植物消减大气颗粒物研究进展[J].北方园艺,2015(24):184-188.
[7]李新宇,赵松婷,李延明.北方常用园林植物滞留颗粒物能力评价[J].中国园林,2015(3):72-75.
[8]孟勇.浅谈城市园林绿化对PM2.5的防控作用[J].风景园林,2013(2):147-148
[9]李新宇,赵松婷,郭佳,等.公园绿地不同植物群落对细颗粒物PM2.5浓度的影响[J].农业科技与信息(现代园林),2014,11(11):11-13.
[10]房静,段素芳.园林植物对PM2.5的影响[J].农业工程,2016,6(4):43-44.
Adsorption of Different Evergreen Plants to PM2.5 in Winter
Abstract:In order to understand the relationship between the planting method,position and PM2.5 adsorpted by evergreen plants in the northern winter,guide the garden configuration of evergreen plants,reduce the pollution of heavy fog period,the PM2.5 concentration were analyzed around the plants and in the woodland with four kind of evergreen plants and two planting types in Tianjin Chengjian University.The results showed that:(1)The concentration of PM2.5 around evergreen plants depended on one in the atmosphere.(2)In the heavy fog weather,evergreen plants reduced PM2.5 in some extent,and there was obvious different PM2.5 on each position of plants,which were more relevant each other.(3)The concentration of PM2.5 was lowest among the woodlands of Sabina,Pinus bungeana,and Euonymus japonicas but highest above the plants,also lower in the southern and northern edges of Euonymus japonicas(Second only to the internal of community).The concentrations were highest under rows of plants near the north but were lowest in the middle of the plants,rows,plant height at 1/2.(4)The planting position of plants with rows and areas was highly correlated with PM2.5 concentration,their correlation coefficient was more than 0.9 and 0.8.Therefore,it is recommended that the activity areas should be established in the forests or on the south side of acres planting evergreen.
Key words:evergreen plants in winter;PM2.5;adsorption
中图分类号:X173
文献标识码:A
收稿日期:2017-03-24
基金项目:天津市农业科技成果转化与推广项目“彩叶树优良品种繁殖、栽培技术示范与推广”(201502100);天津市科委项目“北方蓝莓适栽品种选育和耐盐、碱诱变育种及标准化生产”(16YFZCNC00750);天津市科委项目“天津盐碱地与水环境生物修复植物材料研发及应用平台建设”(15PTSYJC00130)
文章编号:1008-5394(2017)04-0019-04
责任编辑:杨霞

