太原市靖远松叶蜂疫情空间分布分析
【类型】期刊
【作者】韩旭莉(山西省太原市动物园)
【作者单位】山西省太原市动物园
【刊名】内蒙古林业
【关键词】 靖远松叶蜂;太原市;空间分布;疫情;地形条件;季风气候;常绿树种;山西省
【ISSN号】1033-8221
【页码】P18-19
【年份】2019
【期号】第7期
【摘要】太原市位于山西省中部,属大陆性北温带干旱季风气候;地形为盆地,西部、北部和东部皆为山地,南边与晋中平原接壤,特殊的地形条件造成病虫害等疫情不易扩散,容易形成区域性暴发。靖远松叶蜂(Diprion jingyuanensis)是危害松柏目常绿树种的食叶型害虫。上世纪90年代,靖远松叶蜂入侵太原市,到本世纪初暴发,达到极大值,几近饱和,对太原地区油松、白皮松等针叶常绿树种造成极大的危害,虽
【全文】 文献传递
太原市靖远松叶蜂疫情空间分布分析
太原市位于山西省中部,属大陆性北温带干旱季风气候;地形为盆地,西部、北部和东部皆为山地,南边与晋中平原接壤,特殊的地形条件造成病虫害等疫情不易扩散,容易形成区域性暴发。靖远松叶蜂(Diprion jingyuanensis)是危害松柏目常绿树种的食叶型害虫。上世纪90年代,靖远松叶蜂入侵太原市,到本世纪初暴发,达到极大值,几近饱和,对太原地区油松、白皮松等针叶常绿树种造成极大的危害,虽然近几年经多方防治有所缓解,但前景仍不乐观,对其疫情的研究刻不容缓。
一、样本与方法
本次研究的样本为1995-2005年太原市6个县区靖远松叶蜂疫情资料。数据来源于太原市园林植物保护站各监测站统计结果,将全市绿地按3公里×3公里网格划分为100个样本采集点,每个采集点安装3个诱捕器,采用该虫性信息素(2 s,3 r,7 r)-3、7-二甲基-2-十三碳醇丙酸脂诱捕采样,所有数据运用聚类法,建立数学模型,将受灾情况按强弱分开,探究太原市靖远松叶蜂疫情传播空间分布规律。
1.趋势分析
对疫情空间分布情况进行趋势分析,可基本判断出全市范围内虫情随地域变化情况。在图1中,横轴为经纬度的增加方向,分别为由南向北和由西向东,太原地区处于北纬37°和东经112°区域,所以由南向北是纬度增加,由西向东是经度增加。纵轴为样本采集点1995-2005年间通过统计各网格内全部捕捉器中害虫数的方差值,得到其在太原疫情分布的二维趋势图。
图1中,起点高的曲线(标注l o,即经度,为东西方向)为太原市从西向东虫情的变化规律;起点低的曲线(标注l a,即纬度,为南北方向)为太原市从南向北的虫情变化规律。

图1 太原市靖远松叶蜂疫情分布二维趋势
2.空间自相关分析
疫情空间分布分析涉及位置、时间、虫口数等多个变量,而作为在统计学中针对多变量在同一个分布区内的观测数据之间潜在的相互关联的函数,空间自相关统计是适合此项研究的。在运用上,又与和本项研究紧密相关的地理学第一定律互相佐证,即单元网格间各元素的相似性和连通性,以及各因子的不均衡性。在诸多算法中,莫氏统计法(M o r a n's I)最为知名和常用,可以侦测到潜在的空间聚集单元网格,如果不存在空间聚集,则证明疫情为随机分布。在功能上,莫氏统计法既可用于全域性统计,也可用于区域性统计。

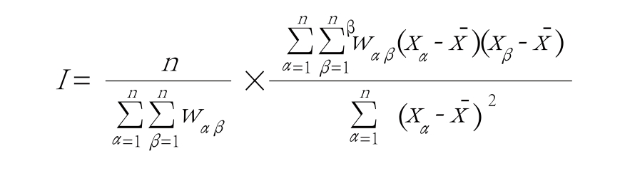
运用全域性莫氏统计法运算时,将整个太原市看作统一的整体,可辨别全市是否属于疫情区域,其结果正值越大,则越可增加其疫区的确定性,为实施防治提供预警。公式如下:

公式中,n是参与计算网格数,Xα和Xβ分别表示某现象ⅹ在网格单元α和β上的观察值,Wαβ(L)为在L距离内的空间相邻权重矩阵。对于区域数据而言,若α和β相邻,Wαβ(L)为1,不相邻为0。为了便于描述计算结果,采用随机条件下近似正态分布假设的标准差对指标进行标准化,通常用统计结果减去其理论期望值的差,再除以相应的标准差得到标准M值。对莫氏值进行假设检验,M值大于或等于2.45,以及M值小于或等于-2.45,莫氏值不等于0,认为具有空间自相关性,否则莫氏值等于0,不具有空间自相关性。
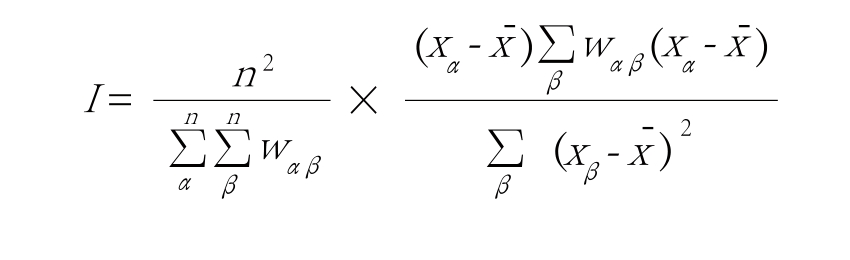
但在实际情况中,由于疫情在太原市不同地区存在可侵染植株数量、传播环境、人类活动干扰及气候等差异,全市的疫情存在地理上的差异性,考虑到全局自相关不能如实反映局部离散数据的真实性,覆盖了不同网格之间的差异;现实中则不能体现临近各县区的疫情差异,因此,改用局部莫氏值判断地区是否存在聚集性,其计算通过以下公式完成:

其间,需引入辅助验算。作为线性回归模型的一种,在对连续空间数据变化的研究,常运用多项式回归模型对研究范围内的数据变化规律进行界定,通过体现离散数据,可将数据的空间变化划分为区域趋势、局部异常和随机误差3个部分,并将数据叠加进行比较,如将后两者的期望设定为0,从而协方差也为0,由此得到的残差平方和为最小估计值,该值可呈现某设定区域的趋势。
二、结果分析
如图1所示,将太原市疫情空间趋势进行分析和预测,从南北方向来看,由南向北逐渐抬升,即随着纬度的升高而增加。从东西方向看,呈“U”形趋势,两山地区偏高、中部偏弱。中部整体疫情较轻,东部山区又较西部山区虫情弱些。
经空间局部自相关分析,中部、南部为低聚集,西部、北部和东部为高聚集,西北最重。太原市各县区聚集状态分析结果见表1。
表1 太原市各县区靖远松叶蜂疫情聚集状态分析

县(区) 局部Moran’s I值 M值 疫情程度迎泽区 -0.00012 -2.68901 低小店区 -0.00025 -7.64892 低杏花岭区 0.00024 6.13168 中万柏林区 0.00057 8.54313 高尖草坪区 0.00027 13.14537 中清徐县 -0.00038 -13.95235 低娄烦县 0.00086 18.13645 高阳曲县 0.00079 16.18674 高古交市 0.00081 17.16544 高
三、讨论
通过研究,对疫情空间分布及其未来趋势获得量化结果,为分析某一区域虫情密度变化原因提供导向参考,从而为制定防治决策提供科学依据。如太原市地区造成靖远松叶蜂疫情暴发空间差异性的主要成因可初步判断为:一是太原市三面山地多为生态造林区,纯林较多,在适地适树的原则下,松柏目植物偏多,成为重点受灾区域;二是因山地阻隔,东南风较易侵入,在风力的作用下,太原市西北部呈现较重虫情;三是中南部盆地中心在人类聚居区,生活及生产活动较多,且植物配置相对山区更加多样化,同时人工防治植物病虫害力度较大,所以,整体呈现虫情较弱的趋势。

