不同施肥处理对白皮松叶片内营养元素含量的影响
【类型】期刊
【作者】牛向阳,姚延梼(山西农业大学林学院;晋城宏圣润晋园林绿化工程有限公司)
【作者单位】山西农业大学林学院;晋城宏圣润晋园林绿化工程有限公司
【刊名】甘肃农业科技
【关键词】 白皮松;营养元素;施肥处理
【ISSN号】1001-1463
【页码】P16-18
【年份】2019
【期号】第4期
【摘要】以5年生白皮松苗木为材料,研究了不同施肥处理下白皮松在一个生长周期内不同生长阶段叶片N、P、K元素含量的变化。结果表明,在不同施肥处理下,白皮松生长期叶片N、P、K元素含量随着施肥次数和施肥量的增加以及生育进程推移总体呈S型变化趋势,但在不同施肥条件下同一种元素含量存在一定差异,植株生长旺盛期合理施肥对白皮松叶片营养元素含量的影响明显。
【全文】 文献传递
不同施肥处理对白皮松叶片内营养元素含量的影响
摘要:以5年生白皮松苗木为材料,研究了不同施肥处理下白皮松在一个生长周期内不同生长阶段叶片N、P、K元素含量的变化。结果表明,在不同施肥处理下,白皮松生长期叶片N、P、K元素含量随着施肥次数和施肥量的增加以及生育进程推移总体呈S型变化趋势,但在不同施肥条件下同一种元素含量存在一定差异,植株生长旺盛期合理施肥对白皮松叶片营养元素含量的影响明显。
关键词:白皮松;营养元素;施肥处理
白皮松(Pinus bungeana Zuuc.ex Endl)为常绿乔木,又名虎皮松,隶属松科松属,其经济价值及观赏价值愈来愈受重视。山西省是白皮松的主栽区,面积大、数量多,但由于立地条件差、施肥不合理、管理粗放而造成苗木长势差、肥料利用率低。植物叶片是光合作用和蒸腾作用的重要器官,在植物的整个生长过程中起关键作用,叶片营养元素含量变化是施肥处理研究的基础。研究表明,通过合理施肥能提高楸树、蓝桉叶片中的N、P、K元素含量[1~3]。我们以5年生白皮松苗木为试材,研究了不同施肥处理白皮松在一个生长周期内叶片内N、P、K元素含量的变化,以期为白皮松的合理施肥和养分调控提供理论依据。
1 材料与方法
1.1 试验材料
供试材料为山西省泰尔有限责任公司优质苗木基地生长健壮、无病虫害、长势一致的5年生白皮松。
1.2 试验方法
采用田间试验与室内实验相结合的方法。田间试验在泰尔有限责任公司苗木基地进行,随机区组排列,3次重复,小区面积80 m2(20 m×4 m),行距2 m,株距3 m,每小区栽植3行。土壤质地属川地褐土,肥力较差,雨季排水不良,耕层土壤含有机质15.1 g/kg、速效氮44.1 mg/kg、速效钾80.6 mg/kg、速效磷24.3 mg/kg,pH为7.8。试验共设4个处理。处理D1施尿素(含N 46.3%)3 g/株;处理D2施氮磷钾复合肥(含N 19%、P2O57%、K2O 14%)7 g/株;处理D3施多元素复合肥(山西农业大学林学院水土保持研究所配制)10 g/株;清水处理为对照(CK)。于2012年3月至2013年2月每月10日称取相应肥料溶于水中(按每株施肥量×每个小区株数计算),对小区内每个白皮松苗木沟灌施肥1次,每次沟施后第10天,即当月20日8:00~10:00时,各小区按东、西、南、北随机采集一定数量的新梢中部叶片装袋后标记,带回实验室测定。
1.3 氮磷钾元素含量的测定
将采回的样品先用自来水冲洗干净,再用离子水冲洗2~3次,然后用吸水纸吸干样品表面水分。称取10 g样品于电热恒温鼓风干燥箱(型号为DHG-9070)内,在105℃下烘干30 min,再在80℃下烘干至恒重,然后用不锈钢植物粉碎机(型号为FZ102)将烘干样粉碎,过筛后充分混匀贮于自封袋内,放在带塞的大玻璃瓶内备用,内外贴相同的标签标明。N、P、K元素含量测定分别采用凯氏定氮法、钒钼黄比色法和原子吸收分光光度法[4]。
2 结果与分析
2.1 不同施肥处理对白皮松生长期叶片N、P、K元素含量的影响
测定结果表明,随着施肥次数和施肥量的增加以及生育进程的推移,各处理白皮松生长期叶片N、P、K元素含量总体呈S型变化趋势,但存在一定差异。从图1可以看出,各处理的N元素含量自3月20日至4月20日均呈上升趋势,4月20日后至6月20日均呈下降趋势,6月20日后至10月20日除处理D1自8月20日至10月20日、CK自9月20日至10月20日保持不变外,处理D2、处理D3均呈缓慢上升趋势;P元素含量3月20日至6月20日均呈下降趋势,6月20日后至10月20日均呈先升后降趋势;K元素含量3月20日至7月20日均呈下降趋势,7月20日后至10月20日均呈先升后降趋势。这可能是由于3月中下旬新梢开始生长,叶片内N、P、K元素向新梢转移,树木吸收了大量养分用于叶片的营养生长。6月20日至8月20日叶片逐渐成熟,光合作用增强,叶片积累了大量有机物,同时由于蒸腾作用增强,叶片从土壤中吸收大量N、P、K元素,形成了不同处理自6月20日至8月20日叶片内N、P、K元素吸收量缓慢上升的趋势。

图1 生长期不同处理的白皮松叶片内N、P、K元素含量变化
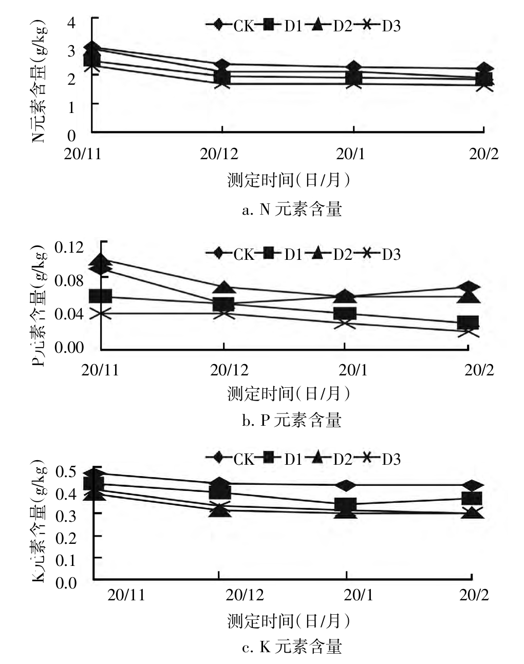
2.2 不同施肥处理对白皮松休眠期叶片N、P、K元素含量的影响
10月下旬至翌年2月下旬,白皮松进入休眠期后,不同施肥处理白皮松叶片内N、P、K元素含量的变化总体呈下降趋势。从图2可以看出,各处理的N元素含量11月20日至12月20日均呈下降趋势,12月20日后至翌年2月20日除处理D2自翌年1月20日至2月20日呈下降趋势外,其余处理基本保持不变;P元素含量除CK呈先降后升趋势外,其余处理均呈下降趋势;K元素含量除处理D1呈先降后升趋势外,其余处理均呈缓慢下降趋势。由于10月下旬树体进入休眠期后,光合作用减弱,养分消耗量减少,致使叶片中N、P、K元素逐渐积累而增加,但根系仍保持一定的养分吸收速率。晚秋叶片回流N、P、K元素对树体贮藏营养元素的作用十分重要,进入N素营养储备期,此时叶片中的N元素逐渐向树体及根部回流[5]。

图2 休眠期不同处理的白皮松叶片内N、P、K元素含量变化
3 小结
试验结果表明,不同施肥处理下白皮松生长期叶片N、P、K元素含量随着施肥次数和施肥量的增加以及生育进程的推移总体呈S型变化趋势,但同种元素含量存在一定差异;进入休眠期后,叶片中N、P、K元素含量呈持续下降的趋势。休眠期到来之前,施用氮磷钾复合肥对促进白皮松叶片N元素的吸收和利用作用最好,施氮肥、氮磷钾复合肥及多元素复合肥均有利于白皮松叶片对P元素的吸收利用;8月中下旬后植株处于生长旺盛期,施尿素能较好地促进叶片对K元素的吸收利用。可见,白皮松生长旺盛期需要吸收大量营养元素,合理施肥可较好地促进白皮松叶片对N、P、K元素的吸收利用。
参考文献:
[1] 黄元仿,贾小红.平衡施肥技术[M].北京:化学工业出版社,2002.
[2] 潘晓燕,魏天福,曹文亮,等.敦煌市棉花施肥量对产量的影响[J]. 甘肃农业科技,2013(4):9-12.
[3] 张康健,王 蓝.药用植物资源开发利用学[M].北京:中国林业出版社,1997.174-186.
[4] 鲍士旦.土壤农化分析[M].中国农业出版社,2000.
[5]束怀瑞.果树栽培生理[M].北京:农业出版社,1997:304.
Effects of Different Fertilization Treatment on Nutrient Content in Leaves of Pinus bungeana Zuuc
Abstract:This experiment selected five years Pinus bungeana Zuuc ex Endl seedlings as test materials to study the content variations and distribution rules of three nutrient elements(N,P,K)in a growth period.The results showed that the growing leaf N,P,K content of Pinus bungeana Zuuc ex Endl had S shape trend with increase of fertilization Frequency and and amount of fertilizer as well as growth process goes on,but there are some differences in the content of the same element in different fertilization conditions,the rational fertilization have significant influence on nutrient contents of Pinus bungeana Zuuc ex Endl during plant growing.
Key words:Pinus bungeana Zuuc ex Endl;Nutrition elements;Fertilization treatment
中图分类号:Q945.15
文献标识码:A
文章编号:1001-1463(2014)04-0016-03
doi:10.3969/j.issn.1001-1463.2014.04.006
收稿日期:2014-01-14

