不同基质对移植油松、白皮松生长及叶片养分含量的影响
【类型】期刊
【作者】孙宏彦,舒健骅,娄金丹,李子敬(北京市园林科学研究院)
【作者单位】北京市园林科学研究院
【刊名】园林科技
【关键词】 油松;白皮松;大树移植;古树衰亡;营养元素;地上部生长
【页码】P16-21,31
【年份】2019
【期号】第2期
【摘要】油松(Pinus tabulaeformis Carr.)、白皮松(P.bungeana)是两种常见园林观赏绿化树种,在丰富首都园林景观方面发挥着重要作用。当前,油松、白皮松的大树移植及古树衰亡是园林行业面临的重要问题,而土壤和植物中的营养元素含量可以作为古树健康诊断的潜在指标。在本实验中,以油松和白皮松移栽大苗为材料,经不同基质处理后,检测叶片生长情况及营养元素含量,探讨不同基质对移栽油松、白皮松生长的影响。结果表明,氮磷钾养分含量最高的基质1(草炭∶园土∶陶粒体积比为3∶1∶1)对油松、白皮松的新叶、老叶干重积累及针叶长度均有显著促进作用。虽然土壤中养分含量对叶片中养分含量没有显著影响,但是对地上部的生物量有明显的促进作用,从而影响了地上部营养元素吸收量。
【全文】 文献传递
不同基质对移植油松、白皮松生长及叶片养分含量的影响
摘 要:油松(Pinus tabulaeformis Carr.)、白皮松(P.bungeana)是两种常见园林观赏绿化树种,在丰富首都园林景观方面发挥着重要作用。当前,油松、白皮松的大树移植及古树衰亡是园林行业面临的重要问题,而土壤和植物中的营养元素含量可以作为古树健康诊断的潜在指标。在本实验中,以油松和白皮松移栽大苗为材料,经不同基质处理后,检测叶片生长情况及营养元素含量,探讨不同基质对移栽油松、白皮松生长的影响。结果表明,氮磷钾养分含量最高的基质1(草炭∶园土∶陶粒体积比为3∶1∶1)对油松、白皮松的新叶、老叶干重积累及针叶长度均有显著促进作用。虽然土壤中养分含量对叶片中养分含量没有显著影响,但是对地上部的生物量有明显的促进作用,从而影响了地上部营养元素吸收量。
关键词:油松;白皮松;大树移植;古树衰亡;营养元素;地上部生长
油松(Pinus tabulaeformis Carr.)为松科(Pinaceae)松属(Pinus)常绿针叶乔木,树高可达30m,胸径可达1m;且树干挺拔苍劲,四季常青,是中国华北、西北和东北部分地区重要的造林树种,同时又是许多城市、风景区的绿化、美化树种[1]。白皮松(P.bungeana)也是松科松属常绿乔木,是我国特有的树种,分布于河北、河南、陕西等省份的中低山区,是一种常见的园林绿化树种。白皮松树干斑驳,针叶美观,具有很高的观赏价值和生态价值[2]。油松和白皮松均是北京市常见的园林绿化观赏树种,二者在丰富首都园林景观方面均发挥着重要作用。
目前,油松、白皮松的大树移植及古树衰亡是首都园林行业面临的重要问题。为了解决这些问题,园林行业中采取了很多手段,在古树复壮过程中常用的一个技术手段为添加草炭、陶粒等基质。而草炭一般不宜单独作为栽培基质使用,而与其他基质配合使用,才能发挥其良好效果[3]。基质成分和基质配比共同决定了基质的氧分性质和理化状况[4],然而,这些基质的添加具有很大的随意性和主观性,添加的数量和配比基本依靠园林工人的经验判断,添加的效果也不尽相同。为了解决这一实际问题,我们需要在实践的基础上,筛选出改良效果突出的基质配方,实现基质配方添加的标准化和最优化,以便在行业内广泛推广。
由于古树生长的土壤中营养元素含量和同种树的不同年龄阶段土壤中营养元素含量不同,所以土壤和植物中的营养元素含量可以作为古树健康诊断的潜在指标。李庆庚等研究发现,与现代银杏相比,古银杏生长土壤的P和K素总量要高一些,而N素的总量低[5]。傅徽楠、王瑛以及张安才的研究表明,健康古树和衰弱古树在土壤养分和植物体内营养元素含量上都存在差别[6-7]。
植物体内的营养成分主要依靠土壤等外界因素提供[8],例如植物所需的N、P、K等必需元素,都需要靠土壤直接提供。合理的N、P、K营养改善了植物的水分关系,提高了植物营养物质的积累[9]。在养分充足的情况下,植物养分含量的吸收和积累主要取决于自身的需求量,属于植物内在属性,而土壤提供的养分属于外在属性[10]。而当外界条件不同时,例如养分缺失时,二者存在相互制约相互影响的关系。已有研究表明,不同基质中养分含量及释放速率不同[11],因此,当基质中有效养分含量不足以满足植物需要时,基质就会对植物的养分吸收产生影响,从而影响植物叶片的养分含量。另外,不同植物对不同养分的需求也不相同。例如,一些常见针叶树在相同土壤环境中对养分的吸收也存在差异[12]。在对番茄的研究中发现,番茄对磷的吸收量较低,对钾的吸收量较高,因而造成基质中磷、钾含量降幅变化规律不同[13]。综上,不同基质中的养分含量及释放量可能会影响油松、白皮松根系的生成,并影响其养分的吸收,从而造成叶片中养分含量的不同。为了解决油松、白皮松古树衰亡的问题,以及移栽油松、白皮松的成活率问题,本研究拟从基质内养分与对油松、白皮松叶片中营养元素的含量入手,探讨不同基质对移栽油松、白皮松地上部生长的影响。
1 材料与方法
1.1 植物条件
大树试验站位于北京市朝阳区园林科学研究院内。站内设有油松实验区和白皮松实验区。
油松、白皮松均为已成功移植两年的大规格苗木。移植的油松规格为胸径20cm,树高10m左右。油松实验区共建有油松树池8个,其中4个全封闭树池栽培基质为草炭∶园土∶陶粒=3∶1∶1的配方基质(基质1)。另外四个半封闭树池为园土对照。移植的白皮松为8株规格为胸径12cm,树高4.2m左右的苗木。白皮松区树池内栽培基质为共有3种,分别为草炭∶园土∶陶粒体积比为3∶1∶1(基质1)和1∶3∶1(基质2)的两种配方基质,以园土作为对照。
1.2 叶片采集
叶片样品采集于大树试验站,采集时间从油松、白皮松新叶完全展开后开始,第一次采样时间为2013年6月25日。之后每隔1个月采集一次,至当年10月25日。每次从每株油松、白皮松上随机选取10枝生长健壮枝条,每枝条随机摘取新叶、老叶各10束,装入自封袋,放入保温冰桶中带回实验室。
1.3 土样采集
与叶片采集同时进行。在每树池内随机选取三个取样点,利用土钻钻取20~40cm土壤,将三个土样混匀为一个样品,带回实验室冷冻保存。
1.4 生长数据分析
1.4.1 平均针叶长度测定
从每棵树上采回的新叶、老叶各100束。针叶中分别随机抽取10束,测定每束针叶的针叶长度,取平均值代表该株树木的平均新叶、老叶的针叶长度。油松、白皮松新叶、老叶生长季节变化趋势取所有待测植株的平均值。不同处理间对比时取各处理组内树木平均针叶长度的平均值。
1.4.2 干重测定
将采回的叶片称取鲜重后,置于-20℃冰箱中冷冻保存。实验结束后统一置于烘箱中在80℃烘干至恒重,称取干重。
1.4.3 芽长度测定
于2013年11月22日和2014年11月30日分别测定油松、白皮松芽长度。测定时,每株油松、白皮松上随机选取10枝生长健壮枝条,利用游标卡尺测定枝条上顶芽的长度。
1.4.4 数据分析
油松、白皮松叶片含水率=(1-干重/鲜重)* 100%。油松、白皮松干重为100束针叶的总干重。油松、白皮松新叶、老叶生长季节干重、叶长及含水率变化趋势取所有待测植株针叶的平均值。不同处理间对比时取各处理组内树木针叶平均值。
1.5 叶片元素分析
1.5.1 样品处理
将采回的油松、白皮松针叶用去离子水清洗干净后置于烘箱在80℃烘干至恒重,获取干重后,在万能粉碎机中粉碎至粉末状,置于干燥器中备用。
1.5.2 叶片消煮
每样品称取0.5g置于消煮管中,加入5mL浓硝酸静置12h后,放于120℃电热板上消煮,保持微沸状态至棕色烟雾消失、溶液清亮时,停止消煮。每支消煮管加去离子水定容至50ml,混匀后将消煮溶液过滤进50ml塑料瓶中备用。同时做标样和空白对照。
1.5.3 元素测定
将过滤定容后的消煮溶液通过iCAP6000全谱直读电感耦合等离子体发射光谱仪(美国 Thermo Fisher Scientific公司),测定溶液元素含量。并根据标准曲线计算叶片元素含量。
1.6 土壤营养元素分析
将冷冻保存的土样风干,分别过1mm筛和2mm筛,测定土壤碱解氮,速效磷和速效钾含量。
1.6.1 碱解N测定
称取通过18号筛(孔径1mm)风干样品2g(精确到0.001g)和1g硫酸亚铁粉剂,均匀铺在扩散皿外室内,水平地轻轻旋转扩散皿,使样品铺平。将2ml 2%硼酸溶液加入扩散皿内室,并滴加1滴定氮混合指示剂,然后在皿的外室边缘涂上碱性胶液,盖上毛玻璃,并旋转数次,以便毛玻璃与皿边完全粘合,再慢慢转开毛玻璃的一边,使扩散皿露出一条狭缝,迅速用移液管加入10ml1.8mol/L氢氧化钠于皿的外室,立即用毛玻璃盖严。水平轻轻旋转扩散皿,使碱溶液与土壤充分混合均匀,用橡皮筋固定,随后放入40℃恒温箱中。24小时后取出,再以0.01mol/L HCl标准溶液用微量滴定管滴定内室所吸收的氮量,溶液由蓝色滴至微红色为终点,记下盐酸用量毫升数V。同时要做空白试验,滴定所用盐酸量为V0。
结果计算:水解性氮(mg/kg土)=N×(V-V0)× 14/样品重×1000
式中:
N—标准盐酸的摩尔浓度;
V—滴定样品时所用去的盐酸的毫升数;
V0—空白试验所消耗的标准盐酸的毫升数;
14—一个氮原子的摩尔质量mg/mol;
1000—换算成每百克样品中氮的毫克数。
1.6.2 速效P测定
称取通过18号筛(孔径为1mm)的风干土样5g(精确到0.01g)于200ml三角瓶中,准确加入0.5 mol/L碳酸氢钠溶液100ml,再加一小角勺无磷活性碳,塞紧瓶塞,在振荡机上振荡30分钟(振荡机速率为每分钟150~180次),立即用无磷滤纸过滤,滤液承接于100ml三角瓶中。吸取滤液5ml于50ml量瓶中,加硫酸钼锑抗混合显色剂5ml充分摇匀,排出二氧化碳后加水定容至刻度,再充分摇匀。30分钟后,在分光光度计上比色(波长880nm),比色同时做空白测定。利用绘制的标准曲线计算土壤速效磷含量。
结果计算:土壤速效P(mg/kg)=比色液mg/L×定容体积/W×分取倍数
式中:
比色液mg/L—从标准曲线上查得的比色液磷的mg/L数;
W—称取土样重量(g)。分取倍数—100/5。
1.6.3 速效K测定
称取风干土样(1mm孔径)5g于150ml三角瓶中,加1mol/L NH4OAc溶液50ml,用橡皮塞塞紧,在20~25℃下振荡30分钟用定性滤纸过滤,滤液与钾标准系列溶液一起在火焰光度计上进行测定,利用绘制的速效K标准曲线,根据待测液的读数值查出相对应的mg/L数,并计算出土壤中速效钾的含量。
结果计算:土壤速效钾(K)mg/kg=待测液mg/L×加入浸提剂毫升数/风干土重。
1.7 统计分析
用SPSSS tatisticsV17.0软件进行比较均值法差异性显著分析。其中油松有基质1组和对照组,用独立样本t检验法;而白皮松有基质1组,基质2组和对照组,用单因素方差分析法。
2 结果与分析
2.1 不同基质对叶片干重的影响

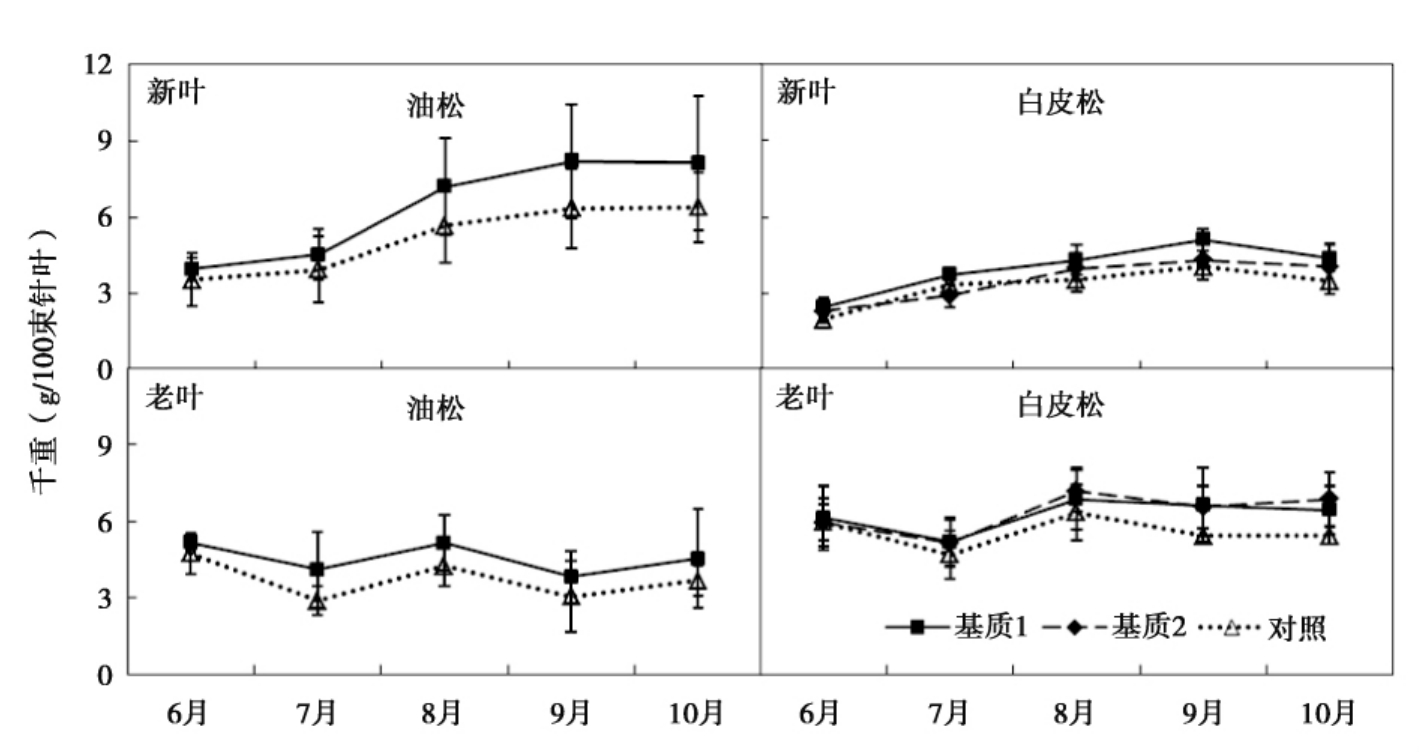
图1 生长季节不同基质条件下油松、白皮松新叶、老叶干重月变化
如图1,α=0.05时,不同基质条件下油松、白皮松新叶老叶干重均无显著性差异。比较不同基质条件下油松、白皮松新叶老叶干重发现,基质1条件下油松新叶、老叶6月份至10月份的生长量均大于园土对照。尤其在油松新叶中变化非常明显,在6月份基质1和园土对照针叶干重基本一致,7月份差距逐渐加大,8、9月份差距已经非常明显,表明7、8月份是油松地上部生长非常旺盛的季节,叶片干物质积累迅速。而在白皮松中,基质1、基质2的新叶、老叶干重在6月份基本一致,而后逐渐出现差异。至生长季节结束时,可以发现基质1和基质2均可促进白皮松叶片干物质的积累。
值得一提的是,油松和白皮松老叶干重变化在7月份均有一个显著下降的现象。这可能是由于7月份新叶迅速增长,营养物质有一个从老叶向新叶转移的过程。而8月份老叶干重又开始上升,可能是由于新叶旺盛生长期已经结束,开始进入光合产物积累时期,同化物又开始向老叶中分配。9月份的老叶干重下降与新叶生长达到年生长顶峰同步,则可能是同化物转移为树木越冬而做的准备。

图2 生长季节不同基质条件下油松、白皮松新叶、老叶含水率月变化
2.2 不同基质对叶片含水率的影响
如图2,α=0.05时,不同基质条件下油松、白皮松新叶老叶含水率均无显著性差异。比较不同基质条件下油松、白皮松叶片含水率可以发现,基质配比对叶片含水率影响较小。各处理下油松、白皮松新老叶片含水率均无明显差异。

图3 生长季节不同基质条件下油松、白皮松新叶、老叶针叶长度月变化
2.3 不同基质对针叶长度的影响
如图3,α=0.05时,不同基质条件下油松、白皮松新叶老叶针叶长度月变化均无显著性差异。比较不同基质条件下油松、白皮松新老叶片的针叶长度可知,基质1对油松、白皮松新老叶片的生长均有明显促进作用。基质2对白皮松老叶的促进作用与基质1基本一致,对白皮松新叶的生长优于对照,但不如基质1。
2.4 不同基质对油松、白皮松芽长度的影响
如图4,α=0.05时,不同基质条件下油松、白皮松芽直径变化均无显著性差异。比较2013年和2014年11月底油松和白皮松芽直径发现,2013年油松芽直径与2014年差异不大,而白皮松2014年芽直径则显著高于2013年芽直径。这可能是由于白皮松2014年生长势恢复后造成的芽直径显著提高。而比较不同基质下油松和白皮松芽直径可发现,不同基质对油松2013年和2014年芽直径影响不大,而对白皮松影响较为显著。白皮松2013年各处理间没有显著差异,而2014年芽直径表明,基质1和基质2均显著促进了芽的生长,二者长度均显著大于对照中的芽直径。

图4 2013、2014年末不同基质条件下油松、白皮松芽直径
2.5 油松、白皮松栽培基质中碱解氮、速效磷和速效钾含量
如图5,α=0.05时,油松、白皮松树池中土壤碱解氮、速效磷和速效钾含量变化均无显著性差异。可知,油松中基质1六月份碱解氮含量较高,约为200mg/kg,随着月份变化N含量逐渐降低,至九、十月降至约150mg/kg。而园土对照中N含量一直处于较低水平,约为50mg/kg。与白皮松三种基质N元素含量比较可发现,油松、白皮松中基质1和园土对照中N元素含量较为一致。而基质2中N元素含量低于基质1,高于园土对照,在100mg/kg附近上下浮动,且无显著月份变化。
在油松中,基质1和对照间速效磷和速效钾元素含量无差异,且均与白皮松中园土对照含量相近,其中土壤速效磷含量约为5mg/kg,而钾含量约为100mg/kg。这一结果表明,油松基质1中速效磷和速效钾可能在长时间的养护过程中已经被灌溉水淋湿。而白皮松基质1中速效磷和速效钾有一个较为明显的随月份逐渐下降的趋势,至九月份降至最低,十月份含量又略有回升。基质2中速效磷和速效钾元素含量均处于基质1和园土对照之间,且无显著季节变化规律。
2.6 油松、白皮松叶片磷、钾元素含量
如图6,α=0.05时,油松、白皮松新叶、老叶中P元素含量变化均无显著性差异。比较油松、白皮松新叶、老叶中P元素的含量发现,基质1对油松新老叶片磷含量无显著影响。而白皮松中基质1对新叶中P含量影响较大,而基质2对叶片P含量则影响不大。对于白皮松老叶而言,三种处理间P含量无显著差异,基质1中老叶P含量略高于对照,而基质2中老叶P含量略低于对照。本研究结果表明,油松和白皮松新叶、老叶中P含量与土壤中速效磷含量不存在显著相关性。

图5 油松、白皮松树池中土壤碱解氮、速效磷和速效钾含量

图6 油松、白皮松新叶、老叶中P元素含量变化

图7 油松、白皮松新叶、老叶中K元素含量变化
尽管油松基质1中K含量与对照无差别,而油松新叶中K含量却显著高于对照。油松老叶中基质1处理整体也是高于对照。而在白皮松中,尽管基质1基质2中K含量显著高于对照,但是在叶片中K含量却无显著差异。本研究结果表明,油松和白皮松新叶、老叶中P含量与土壤中速效钾含量不存在显著相关性。
3 讨论与结论
通过对不同基质对油松、白皮松地上部生长状况的研究可以发现,基质1对油松、白皮松的新叶、老叶干重积累及针叶长度均有显著促进作用。基质2对白皮松在新老叶片干重积累和新叶长度方面也有相似效果,但效果不如基质1明显。而在老叶长度方面,则与基质1相同。在芽直径方面,基质1和基质2均显著促进了白皮松芽的生长。总之,基质1和基质2均可以促进油松、白皮松地上部的生长,但基质1整体效果要优于基质2。
油松和白皮松新叶、老叶中P含量与土壤中速效磷含量不存在显著相关性。然而,结合地上部生物量来判断,虽然土壤中养分含量对叶片中养分含量没有显著影响,但是对地上部的生物量有明显的促进作用,从而影响了地上部营养元素吸收量。氮磷钾养分含量最高的基质1对白皮松的新叶、老叶干重积累及针叶长度均有显著促进作用,而三种养分含量略低的基质2对白皮松地上部生长也有促进作用,但整体效果不如基质1好。这一结果表明,基质中的养分含量可能是影响白皮松地上部生长状况的主要因素。
对于油松来说,基质1对油松新叶、老叶干重和叶长均有较明显的促进作用,虽然基质1和对照的速效磷和速效钾含量基本无差别,但基质1碱解氮含量显著高于对照,表明氮元素在促进油松地上部生长方面发挥了重要作用。
当然,本研究还存在一定的不足之处,例如研究中只测定了速效磷和速效钾含量,二者都是容易被水分淋失的养分。但是土壤中的养分含量是一个动态平衡的过程,速效磷钾含量低并不代表磷钾元素缺乏,需要测定土壤中全部氮磷钾的含量才能做出准确判断。
参考文献
[1]徐化成.油松[M].北京:中国林业出版社,1993
[2]杨卫丰,王永超,李皓.引发处理对白皮松种子发芽及生理的影响[J].种子,2013,32(5):89-92
[3]杜国栋.人工混配基质对甜樱桃生长发育效应的研究[D].沈阳:沈阳农业大学,2013
[4]王艺.基质组配和缓释肥施肥量对楠木容器苗质量的影响[D].武汉:华中农业大学,2013
[5]李庆庚,李群,袁子祥,等.银杏生长的土壤肥力变化研究[J].土壤通报,2000,31(2):46-48
[6]傅徽楠,王瑛.上海古树生长环境的土壤质量及评价[J].上海建设科技,2007,1:44-46
[7]张安才.古侧柏与行道树银杏立地土壤微生物及作用强度研究[D].泰安:山东农业大学,2009
[8]李博,赵斌,彭容豪等译.陆地生态系统生态学原理[M].北京:高等教育出版社,2005
[9]杜佩剑.不同基质配方及叶面肥浓度对四种观赏树种容器苗生长的影响[D].南京:南京农业大学,2008
[10]黄建辉,韩兴国,陈灵芝.森林生态系统根系生物量研究进展[J].生态学报,1999,19(2):270-277
[11]李建明,王忠红,邹志荣.不同配比有机质养分转化与甜瓜生长发育关系[J].沈阳农业大学学报,2006,37(3):427-431
[12]邓文鑫.合肥常见针叶树种养分利用效率及氮磷化学计量的研究[D].安徽:安徽农业大学,2009
[13]孙志强,卢继锋,张惠梅.花生壳和鸡粪复合基质中养分含量变化规律研究[J].上海交通大学学报,2008,26(5):454-457

